كشف باسماء المتقدمين لامتحان الكفاء الثاني 2023 بامانة العاصمة صنعاء للحصول على تراخيص مزاولة المهنة تخصص (دبلوم تقني تخدير)

المجلس الطبي اليمني الاعلى

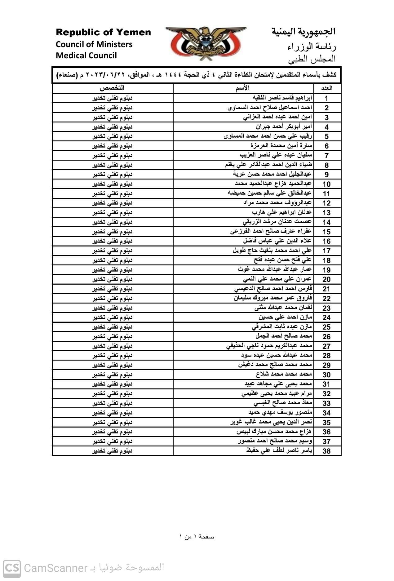
كشف باسماء المتقدمين لامتحان الكفاء الثاني 2023 بامانة العاصمة صنعاء للحصول على تراخيص مزاولة المهنة تخصص

                (دبلوم تقني تخدير)

كشف باسماء المتقدمين لامتحان الكفاء الثاني 2023 بامانة العاصمة صنعاء للحصول على تراخيص مزاولة المهنة تخصص (دبلوم تقني تخدير)