كشف باسماء المتقدمين لامتحان الكفاء الثاني 2023 بامانة العاصمة صنعاء للحصول على تراخيص مزاولة المهنة تخصص (دبلوم مختبرات)

المجلس الطبي اليمني الاعلى

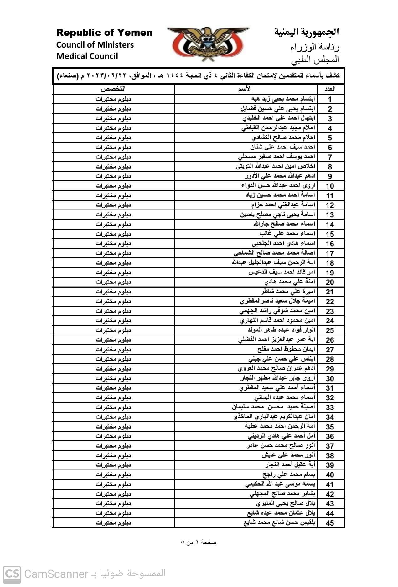
كشف باسماء المتقدمين لامتحان الكفاء الثاني 2023 بامانة العاصمة صنعاء للحصول على تراخيص مزاولة المهنة تخصص

             (دبلوم مختبرات)

كشف باسماء المتقدمين لامتحان الكفاء الثاني 2023 بامانة العاصمة صنعاء للحصول على تراخيص مزاولة المهنة تخصص (دبلوم مختبرات)
كشف باسماء المتقدمين لامتحان الكفاء الثاني 2023 بامانة العاصمة صنعاء للحصول على تراخيص مزاولة المهنة تخصص (دبلوم مختبرات)
كشف باسماء المتقدمين لامتحان الكفاء الثاني 2023 بامانة العاصمة صنعاء للحصول على تراخيص مزاولة المهنة تخصص (دبلوم مختبرات)
كشف باسماء المتقدمين لامتحان الكفاء الثاني 2023 بامانة العاصمة صنعاء للحصول على تراخيص مزاولة المهنة تخصص (دبلوم مختبرات)
كشف باسماء المتقدمين لامتحان الكفاء الثاني 2023 بامانة العاصمة صنعاء للحصول على تراخيص مزاولة المهنة تخصص (دبلوم مختبرات)